Class 12 : Chemistry (Hindi) – Lesson 10.जैव-अणु
पाठ का विश्लेषण एवं विवेचन

🔵 प्रस्तावना:
जीवित प्राणियों की संरचना व क्रियाओं में अनेक कार्बनिक यौगिक पाए जाते हैं जिन्हें जैव-अणु कहा जाता है। ये प्रोटीन, कार्बोहाइड्रेट, वसा, विटामिन, हार्मोन, न्यूक्लिक अम्ल आदि होते हैं। ये जीवन के लिए आवश्यक ऊर्जा, संरचना तथा आनुवंशिक सूचना का आधार बनाते हैं।

🟢 मुख्य वर्गीकरण:
1️⃣ कार्बोहाइड्रेट (Carbohydrates)
2️⃣ प्रोटीन (Proteins)
3️⃣ वसा या लिपिड (Lipids)
4️⃣ न्यूक्लिक अम्ल (Nucleic Acids)
5️⃣ विटामिन (Vitamins)
6️⃣ हार्मोन व एंजाइम (Hormones & Enzymes)
🔸 1. कार्बोहाइड्रेट (Carbohydrates):
📘 परिभाषा:
वे कार्बनिक यौगिक जिनका सामान्य सूत्र Cₓ(H₂O)ᵧ होता है तथा जो कार्बन, हाइड्रोजन और ऑक्सीजन से बने होते हैं, कार्बोहाइड्रेट कहलाते हैं।
📌 इन्हें सकरे (sugars) या शर्करा भी कहा जाता है।
📍 मुख्य कार्य – ऊर्जा प्रदान करना (1 ग्राम = 4 kcal)।
🟡 वर्गीकरण:
1️⃣ एकशर्करा (Monosaccharides):
सबसे सरल इकाई, जल द्वारा नहीं टूटते।
📘 उदाहरण: ग्लूकोज़ (C₆H₁₂O₆), फ्रक्टोज़।
2️⃣ द्विशर्करा (Disaccharides):
दो मोनोशर्कराओं के संयोजन से बनते हैं।
📘 उदाहरण: सुक्रोज़ (ग्लूकोज़ + फ्रक्टोज़), माल्टोज़ (ग्लूकोज़ + ग्लूकोज़), लैक्टोज़ (ग्लूकोज़ + गैलेक्टोज़)।
3️⃣ बहुशर्करा (Polysaccharides):
कई मोनोशर्करा इकाइयों के संघनन से बने जटिल कार्बोहाइड्रेट।
📘 उदाहरण: स्टार्च, सेल्यूलोज़, ग्लाइकोजन।
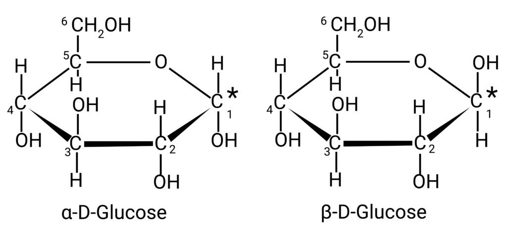
🟢 ग्लूकोज़ (Glucose):
📘 आणविक सूत्र: C₆H₁₂O₆
यह रक्त में प्रमुख ऊर्जा स्रोत है (ब्लड शुगर)।
📍 संरचना:
6 कार्बन; एक ऐल्डिहाइड समूह (CHO) व पाँच हाइड्रॉक्सिल (–OH) समूह।
📌 फिशर संरचना में D-ग्लूकोज़ प्रमुख रूप से पाया जाता है।
📐 चक्रीय रूप:
ग्लूकोज़ का अणु जल में द्रवित होने पर 6-सदस्यीय पायरान व 5-सदस्यीय फ्यूरान चक्रीय रूप बनाता है।
📘 म्यूटारोटेशन:
α और β रूप आपस में संतुलन पर रहते हैं; विशिष्ट घूर्णन में परिवर्तन होता है।
🟡 सुक्रोज़ (Sucrose):
📍 संरचना: ग्लूकोज़ + फ्रक्टोज़ (α,β–1→2 बन्ध)।
📘 विशेषता: अपचायक नहीं है (free –CHO/–CO समूह नहीं)।
📘 स्रोत: गन्ना, चुकन्दर।
🟢 स्टार्च (Starch):
📘 संरचना: ग्लूकोज़ इकाइयों की लम्बी श्रृंखला (ऐमिलोज़ + ऐमिलोपेक्टिन)।
📍 कार्य: पौधों में ऊर्जा संचय।
📍 प्रयोग: आयोडीन से नीला रंग बनाता है।
🟣 सेल्यूलोज़ (Cellulose):
📘 संरचना: β–ग्लूकोज़ इकाइयाँ (1→4) बन्ध से जुड़ी।
📍 कार्य: पौधों की कोशिका भित्ति का मुख्य घटक।
📍 मानव शरीर इसे पचा नहीं सकता।
🟢 ग्लाइकोजन (Glycogen):
📘 संरचना: अत्यधिक शाखायुक्त पॉलीसैकराइड (ग्लूकोज़ इकाइयाँ)।
📍 कार्य: पशुओं में ऊर्जा संचय (यकृत व मांसपेशियों में)।
🔸 2. प्रोटीन (Proteins):
📘 परिभाषा:
प्रोटीन वे नाइट्रोजनयुक्त जैव-अणु हैं जो अमीनो अम्लों के संघनन से बने होते हैं।
📍 सामान्य सूत्र (अमीनो अम्ल): H₂N–CH(R)–COOH
🟢 पेप्टाइड बन्ध (–CO–NH–):
एक अमीनो अम्ल के अमीनो समूह और दूसरे के कार्बोक्सिल समूह के बीच बनता है।
📘 दो अमीनो अम्ल → डायपेप्टाइड
तीन → ट्राइपेप्टाइड
कई → पॉलीपेप्टाइड
🟣 प्रोटीन के प्रकार:
1️⃣ सरल प्रोटीन: केवल अमीनो अम्ल से बने।
📘 उदाहरण: ऐल्ब्यूमिन, ग्लोब्यूलिन।
2️⃣ संयुग्म प्रोटीन: अमीनो अम्ल के साथ अन्य घटक (धातु, शर्करा, फॉस्फेट)।
📘 उदाहरण: हीमोग्लोबिन (Fe), न्यूक्लोप्रोटीन।
🟡 संरचना स्तर:
1️⃣ प्राथमिक (Primary): अमीनो अम्लों का क्रम।
2️⃣ द्वितीयक (Secondary): हाइड्रोजन बन्ध से α–हेलिक्स या β–शीट बनना।
3️⃣ तृतीयक (Tertiary): त्रिविमीय मुड़ाव (Disulfide, H-बन्ध, Van der Waals)।
4️⃣ चतुर्थक (Quaternary): एकाधिक श्रृंखलाओं का संयोजन (जैसे हीमोग्लोबिन)।
🟢 प्रोटीन के कार्य:
एंजाइम निर्माण (जैसे एमाइलेज)।
शरीर की संरचना (केश, नाखून – केराटिन)।
ऑक्सीजन परिवहन (हीमोग्लोबिन)।
रोग प्रतिरोध (एंटीबॉडी)।
ऊर्जा स्रोत (1 ग्राम = 4 kcal)।
🔸 3. वसा या लिपिड (Lipids):
📘 परिभाषा:
वे जैव-अणु जो जल में अघुलनशील किन्तु कार्बनिक विलायकों में घुलनशील होते हैं, लिपिड कहलाते हैं।
📍 घटक: फैटी अम्ल + ग्लिसरॉल
📐 संरचना:
ग्लिसरॉल (C₃H₅(OH)₃) के साथ तीन फैटी अम्ल जुड़कर ट्राइग्लिसराइड बनाते हैं।
📌 अभिक्रिया:
C₃H₅(OH)₃ + 3RCOOH → C₃H₅(OOC–R)₃ + 3H₂O
🟣 वर्गीकरण:
1️⃣ सरल लिपिड: फैटी अम्ल + अल्कोहल।
📘 उदाहरण: वसा, तेल।
2️⃣ संयुग्म लिपिड: अतिरिक्त समूह जैसे फॉस्फेट, शर्करा।
📘 उदाहरण: फॉस्फोलिपिड (कोशिका झिल्ली)।
3️⃣ व्युत्पन्न लिपिड: विटामिन, हार्मोन, कोलेस्ट्रॉल।
🟢 कार्य:
ऊर्जा संचय (1 ग्राम = 9 kcal)।
ताप-रोधक व झटका अवरोधक।
कोशिका झिल्ली का घटक।
वसा में विलेय विटामिन (A, D, E, K) के लिए माध्यम।
🔸 4. न्यूक्लिक अम्ल (Nucleic Acids):
📘 प्रकार: DNA (डीऑक्सीराइबोन्यूक्लिक अम्ल) और RNA (राइबोन्यूक्लिक अम्ल)।
📍 ये आनुवंशिक सूचना के वाहक हैं।
📘 संरचना इकाई: न्यूक्लियोटाइड = शर्करा + फॉस्फेट + नाइट्रोजन क्षारक।
घटक DNA RNA
शर्करा डीऑक्सीराइबोज़ राइबोज़
क्षारक A, G, C, T A, G, C, U
रूप द्विसूत्री (Double Helix) एकसूत्री
कार्य आनुवंशिक सूचना का भंडारण प्रोटीन संश्लेषण
🟣 DNA की संरचना:
दो पूरक श्रृंखलाएँ, हाइड्रोजन बन्ध से जुड़ी।
A–T के बीच 2 H-बन्ध; G–C के बीच 3 H-बन्ध।
हेलिकल (Double Helix) संरचना का प्रस्ताव – वॉटसन और क्रिक (1953)।
📘 कार्य:
अनुवांशिक सूचना वहन, कोशिका विभाजन, प्रोटीन संश्लेषण का नियंत्रण।
🟢 RNA के प्रकार:
1️⃣ mRNA (संदेशवाहक RNA): DNA से सूचना ले जाता है।
2️⃣ tRNA (स्थानान्तरण RNA): अमीनो अम्ल को राइबोसोम तक पहुँचाता है।
3️⃣ rRNA (राइबोसोमल RNA): राइबोसोम की संरचना में भाग लेता है।
🔸 5. विटामिन (Vitamins):
📘 परिभाषा:
वे जैव-अणु जो शरीर के सामान्य क्रियान्वयन के लिए आवश्यक हैं, किन्तु शरीर इन्हें पर्याप्त मात्रा में नहीं बना पाता, विटामिन कहलाते हैं।
📘 वर्गीकरण:
प्रकार उदाहरण घुलनशीलता
जल-विलेय B समूह, C जल में
वसा-विलेय A, D, E, K वसा में
🟢 मुख्य विटामिन व कार्य:
विटामिन नाम कमी से रोग स्रोत
A रेटिनॉल रतौंधी गाजर, मक्खन
B₁ थायमिन बेरी-बेरी अनाज
B₂ राइबोफ्लेविन फटे होंठ दूध
B₁₂ सायनोकोबालामिन एनीमिया मांस, अंडा
C एस्कॉर्बिक अम्ल स्कर्वी नींबू, अमरूद
D कैल्सिफेरॉल रिकेट्स धूप, मछली तेल
E टोकोफेरॉल बाँझपन तेल, अनाज
K फाइलोक्विनोन रक्त जमाव में विलम्ब हरी सब्ज़ियाँ
🔸 6. एंजाइम एवं हार्मोन:
📘 एंजाइम:
जैव-उत्प्रेरक जो रासायनिक अभिक्रियाओं की गति बढ़ाते हैं।
📍 ये प्रोटीन प्रकृति के होते हैं।
📘 उदाहरण:
एमाइलेज – स्टार्च को माल्टोज़ में तोड़ता है।
पेप्सिन – प्रोटीन पाचन में।
लिपेज़ – वसा को फैटी अम्ल व ग्लिसरॉल में।
📐 विशेषताएँ:
विशिष्टता, ताप-संवेदनशीलता, उत्प्रेरक क्रिया।
📘 हार्मोन:
रासायनिक संदेशवाहक जो अंतःस्रावी ग्रंथियों द्वारा स्रावित होकर शरीर की गतिविधियों को नियंत्रित करते हैं।
📍 उदाहरण:
इंसुलिन (अग्न्याशय) – ग्लूकोज़ नियंत्रण।
एड्रेनालिन (अधिवृक्क) – तनाव प्रतिक्रिया।
थायरॉक्सिन (थायरॉइड) – चयापचय नियंत्रण।
इस्ट्रोजन / टेस्टोस्टेरोन – लैंगिक विकास।
🔸 जैव-अणुओं के कार्यों का सारांश:
श्रेणी प्रमुख कार्य
कार्बोहाइड्रेट ऊर्जा स्रोत
प्रोटीन संरचनात्मक एवं एंजाइम
वसा ऊर्जा संचय, झिल्ली निर्माण
न्यूक्लिक अम्ल आनुवंशिक सूचना
विटामिन चयापचय नियमन
हार्मोन शरीर क्रियाओं का नियंत्रण









🔹 II. पाठ का सारांश
🔵 जैव-अणु वे कार्बनिक पदार्थ हैं जो जीवित प्राणियों की संरचना और जीवन क्रियाओं में भाग लेते हैं।
इनमें कार्बोहाइड्रेट, प्रोटीन, वसा, न्यूक्लिक अम्ल, विटामिन, एंजाइम और हार्मोन प्रमुख हैं।
🟢 कार्बोहाइड्रेट ऊर्जा के प्रमुख स्रोत हैं (ग्लूकोज़, सुक्रोज़, स्टार्च)।
प्रोटीन अमीनो अम्लों से बने होते हैं और शरीर की संरचना, एंजाइम क्रियाओं तथा रोग-प्रतिरोध में सहायक होते हैं।
🟡 लिपिड वसा व तेल का समूह हैं जो ऊर्जा-संचय, झिल्ली निर्माण तथा ऊष्मा-संरक्षण में सहायक हैं।
न्यूक्लिक अम्ल (DNA, RNA) आनुवंशिक सूचना का वहन और प्रोटीन संश्लेषण करते हैं।
🔴 विटामिन शरीर के लिए अनिवार्य सूक्ष्म पोषक हैं; विटामिन A से दृष्टि, B–C समूह से चयापचय, D–E–K से अस्थि, प्रजनन व रक्त-संबंधी क्रियाएँ नियंत्रित होती हैं।
🟢 एंजाइम जैव-उत्प्रेरक हैं, जबकि हार्मोन शरीर की चयापचय व विकास प्रक्रियाओं को नियंत्रित करते हैं।
🌟 इस प्रकार जैव-अणु जीवन के रासायनिक आधार हैं जो ऊर्जा, वृद्धि, मरम्मत और आनुवंशिक निरन्तरता सुनिश्चित करते हैं।
🔹 III. त्वरित पुनरावलोकन
🔵 जैव-अणु = जीवन के रासायनिक घटक।
🟢 कार्बोहाइड्रेट – ऊर्जा; प्रोटीन – संरचना व एंजाइम;
🟡 वसा – ऊर्जा संचय; न्यूक्लिक अम्ल – आनुवंशिक सूचना।
🔴 विटामिन – नियामक; एंजाइम – जैव उत्प्रेरक; हार्मोन – समन्वयक।
🌟 जीवन की सभी क्रियाओं का आधार — जैव-अणुओं का संतुलित समन्वय।
————————————————————————————————————————————————————————————————————————————
पाठ्यपुस्त के प्रश्न
🔴 प्रश्न 10.1
मोनोसैकेराइड क्या होते हैं?
🔵 उत्तर:
मोनोसैकेराइड सरलतम कार्बोहाइड्रेट होते हैं जिन्हें हाइड्रोलाइसिस द्वारा और छोटे अणुओं में नहीं तोड़ा जा सकता।
वे सामान्यतः (CH₂O)ₙ सूत्र वाले यौगिक होते हैं।
इनमें एक ही शर्करा इकाई होती है, जैसे —
🟢 ग्लूकोज़ (C₆H₁₂O₆)
🟢 फ्रक्टोज़ (C₆H₁₂O₆)
🟢 गैलेक्टोज़ (C₆H₁₂O₆)
ये या तो एल्डोज़ (aldehyde group) या कीटोज़ (ketone group) युक्त होते हैं।
🔴 प्रश्न 10.2:
अपचयी अभिक्रिया क्या होती है?
🔵 उत्तर:
अपचयी (Reduction) अभिक्रिया वह होती है जिसमें पदार्थ इलेक्ट्रॉन प्राप्त करता है या उसका ऑक्सीकरण संख्या घटती है।
जैव-रासायनिक क्रियाओं में यह ऊर्जा निर्माण की प्रक्रिया में सहायक होती है।
उदाहरण:
🟢 NAD⁺ → NADH
🟢 FAD → FADH₂
इनमें इलेक्ट्रॉन जुड़ने से यौगिक अधिक अपचयित रूप में बदल जाते हैं।
🔴 प्रश्न 10.3:
शर्करा में चक्रीय संरचना के दो मुख्य रूप कौन-से हैं?
🔵 उत्तर:
शर्कराएँ विलयन में चक्रीय रूप में होती हैं। इनके दो मुख्य रूप हैं —
🟢 पाइरानोज़ रूप (Pyranose form): छह-सदस्यीय वलय (5 कार्बन + 1 ऑक्सीजन)
🟢 फ्यूरानोज़ रूप (Furanose form): पाँच-सदस्यीय वलय (4 कार्बन + 1 ऑक्सीजन)
💡 उदाहरण:
✔ ग्लूकोज़ का पाइरानोज़ रूप
✔ फ्रक्टोज़ का फ्यूरानोज़ रूप
🔴 प्रश्न 10.4:
निम्नलिखित को मोनोसैकेराइड्स तथा डायसैकेराइड्स में वर्गीकृत कीजिए —
राइबोज़, 2-डीऑक्सीरीबोज़, माल्टोज़, सेलोबायोज़, फ्रक्टोज़ तथा लैक्टोज़
🔵 उत्तर:
🟢 मोनोसैकेराइड्स:
➤ राइबोज़
➤ 2-डीऑक्सीरीबोज़
➤ फ्रक्टोज़
🟡 डाइसैकेराइड्स:
➤ माल्टोज़
➤ सेलोबायोज़
➤ लैक्टोज़
🔴 प्रश्न 10.5:
ग्लाइकोसाइडिक बंध से आप क्या समझते हैं?
🔵 उत्तर:
ग्लाइकोसाइडिक बंध वह सहसंयोजक बंध है जो एक मोनोसैकेराइड के एनॉमेरिक कार्बन और दूसरे मोनोसैकेराइड के ऑक्सीजन परमाणु के बीच बनता है।
यह बंध दो शर्करा अणुओं को जोड़कर डाइसैकेराइड या पॉलीसैकेराइड बनाता है।
💡 उदाहरण:
✔ माल्टोज़ में α(1→4) ग्लाइकोसाइडिक बंध
✔ सेलोबायोज़ में β(1→4) ग्लाइकोसाइडिक बंध
🔴 प्रश्न 10.6:
पॉलीसैकेराइड क्या होते हैं? तथा ये स्वाद में किस प्रकार के होते हैं?
🔵 उत्तर:
पॉलीसैकेराइड वे कार्बोहाइड्रेट होते हैं जो अनेक मोनोसैकेराइड इकाइयों से मिलकर बने होते हैं।
इनमें ग्लाइकोसाइडिक बंधों द्वारा सैकड़ों शर्करा इकाइयाँ जुड़ी होती हैं।
वे स्वाद में मीठे नहीं होते और जल में अघुलनशील होते हैं।
💡 उदाहरण: स्टार्च, सेल्यूलोज़, ग्लाइकोजन
🔴 प्रश्न 10.7 (क):
सूक्रोज़ तथा (ख) लैक्टोज़ के जल अपघटन से कौन-से उत्पाद प्राप्त होते हैं?
🔵 उत्तर:
🟢 (क) सूक्रोज़ → जल अपघटन से
➡ ग्लूकोज़ + फ्रक्टोज़
🟡 (ख) लैक्टोज़ → जल अपघटन से
➡ ग्लूकोज़ + गैलेक्टोज़
💧 इन अभिक्रियाओं में ग्लाइकोसाइडिक बंध टूटकर दो मोनोसैकेराइड बनते हैं।
🔴 प्रश्न 10.8:
रिड्यूसिंग तथा नॉन-रिड्यूसिंग शर्करा में मुख्य अंतर क्या है?
🔵 उत्तर:
🟢 रिड्यूसिंग शर्करा:
जिनमें मुक्त एल्डिहाइड या कीटोन समूह होता है और जो फेलिंग विलयन/बेनडिक्ट विलयन को अपचयित कर सकती हैं।
उदाहरण: ग्लूकोज़, फ्रक्टोज़, माल्टोज़, लैक्टोज़
🟡 नॉन-रिड्यूसिंग शर्करा:
जिनमें मुक्त एल्डिहाइड या कीटोन समूह अनुपस्थित होता है।
वे फेलिंग विलयन को अपचयित नहीं कर सकतीं।
उदाहरण: सूक्रोज़
🔴 प्रश्न 10.9:
क्या शर्करा एवं D-ग्लूकोज़ की अभिक्रियाएँ निम्नलिखित अभिकारकों से होती हैं?
(i) HI
(ii) क्षारीय जल
(iii) HNO₃
🔵 उत्तर:
✔ (i) HI:
ग्लूकोज़ का HI से अपचयन कर n-हेक्सेन बनता है।
✔ (ii) क्षारीय जल:
ग्लूकोज़ का आंशिक समावयवकरण होता है → फ्रक्टोज़, मैनोज़
✔ (iii) HNO₃:
ग्लूकोज़ में दोनों सिरों का ऑक्सीकरण कर ग्लूकोज़िक अम्ल बनता है।
🔵 प्रश्न 10.10
एक्सुकेले को उन अभिक्रियाओं का वर्णन कीजिए, जो इसकी विद्युत स्थूलता संरचना द्वारा नहीं समझाई जा सकती।
🟢 उत्तर:
एक्सुकेले (Glucose) की खुली शृंखला संरचना के अनुसार इसमें ऐल्डिहाइड समूह उपस्थित है।
परंतु इसकी कुछ अभिक्रियाएँ इस संरचना से मेल नहीं खातीं:
🔹 यह Schiff reagent को विरंजित नहीं करता, जो ऐल्डिहाइड की पहचान के लिए होता है।
🔹 यह हाइड्रॉक्सिलामीन के साथ ऑक्साइम नहीं बनाता।
🔹 यह NaHSO₃ के साथ योग यौगिक नहीं बनाता।
➡ इससे सिद्ध होता है कि विलयन में ग्लूकोज़ का अधिकांश भाग चक्रीय हेमी-एसिटल रूप में उपस्थित होता है।
✔ अतः ग्लूकोज़ की संरचना चक्रीय रूप में होती है।
🔵 प्रश्न 10.11
आपस में तथा क्षारधर्मी अभिकर्मक के साथ एमीनो अम्ल कैसे अभिक्रिया करते हैं? दो उदाहरण दीजिए।
🟢 उत्तर:
एमीनो अम्ल द्विधर्मी प्रकृति के होते हैं (Zwitter ion बनाते हैं)।
🔹 अम्लीय माध्यम में बेस की तरह कार्य करते हैं:
NH₂ + H⁺ → NH₃⁺
🔹 क्षारीय माध्यम में अम्ल की तरह कार्य करते हैं:
COOH + OH⁻ → COO⁻ + H₂O
उदाहरण:
1️⃣ ग्लाइसिन (NH₂CH₂COOH)
2️⃣ ऐलेनिन (CH₃CH(NH₂)COOH)
🔵 प्रश्न 10.12
पेप्टाइड बन्ध क्या है?
🟢 उत्तर:
🔹 जब एक एमीनो अम्ल का –COOH समूह दूसरे एमीनो अम्ल के –NH₂ समूह से जल अणु के निष्कासन द्वारा जुड़ता है तो बना बन्ध पेप्टाइड बन्ध कहलाता है।
उदाहरण:
H₂N–CH₂–COOH + H₂N–CH(CH₃)–COOH →
H₂N–CH₂–CO–NH–CH(CH₃)–COOH + H₂O
✔ यह बन्ध प्रोटीन की संरचना में मुख्य भूमिका निभाता है।
🔵 प्रश्न 10.13
प्रोटीन की द्वितीयक संरचना के सामान्य प्रकार क्या हैं?
🟢 उत्तर:
प्रोटीन की द्वितीयक संरचना दो मुख्य रूपों में होती है:
1️⃣ α-हेलिक्स संरचना – शृंखला सर्पिल रूप में लिपटी होती है। हाइड्रोजन बन्ध स्थिरता प्रदान करते हैं।
2️⃣ β-प्लीटेड शीट – शृंखलाएँ समांतर या विपरीत दिशा में चलती हैं और शीट-जैसी बनावट देती हैं।
✔ ये संरचनाएँ प्रोटीन को स्थायित्व और विशेष आकृति देती हैं।
🔵 प्रश्न 10.14
प्रोटीन को डिनैचुरेशन क्या है?
🟢 उत्तर:
🔹 जब प्रोटीन को गर्म करने, pH बदलने या रासायनिक पदार्थों (जैसे यूरिया) के प्रभाव से उनकी द्वितीयक व तृतीयक संरचना नष्ट हो जाती है परंतु प्राथमिक संरचना बनी रहती है, तो यह प्रक्रिया डिनैचुरेशन (Denaturation) कहलाती है।
🔹 इससे जैविक क्रियाशीलता समाप्त हो जाती है।
उदाहरण: अंडे का पकना।
🔵 प्रश्न 10.15
तंतुज (fibrous) तथा गोलाभ (globular) प्रोटीन का भेद बताइए।
🟢 उत्तर:
विशेषता तंतुज प्रोटीन गोलाभ प्रोटीन
आकृति तंतुनुमा गोलाकार
घुलनशीलता जल में अघुलनशील जल में घुलनशील
उदाहरण केराटिन, मायोसिन एल्ब्यूमिन, इंसुलिन
🔵 प्रश्न 10.16
एंजाइम की उत्प्रेरक प्रकृति का स्पष्टीकरण दीजिए।
🟢 उत्तर:
🔹 एंजाइम जैव-उत्प्रेरक हैं जो रासायनिक अभिक्रियाओं की गति बढ़ाते हैं।
🔹 ये अभिक्रिया के सक्रियण ऊर्जा को कम करते हैं।
🔹 एंजाइम विशिष्ट सब्सट्रेट के साथ एंजाइम-सब्सट्रेट कॉम्प्लेक्स बनाते हैं।
उदाहरण:
सुक्रेज़ – सुक्रोज़ → ग्लूकोज़ + फ्रुक्टोज़
🔵 प्रश्न 10.17
विटामिन क्या होते हैं?
🟢 उत्तर:
🔹 विटामिन कार्बनिक यौगिक हैं जो शरीर की चयापचय क्रियाओं के लिए आवश्यक होते हैं।
🔹 ये ऊर्जा प्रदान नहीं करते परंतु एंजाइम क्रियाओं में सह-कारक (cofactors) के रूप में कार्य करते हैं।
उदाहरण: विटामिन A, B, C, D, E, K
✔ विटामिन की कमी से रोग उत्पन्न होते हैं जैसे — स्कर्वी, रिकेट्स आदि।
🔵 प्रश्न 10.18
प्रोटीन की संरचना पर विकृतिकरण का क्या प्रभाव होता है?
🟢 उत्तर:
🔹 विकृतिकरण (Denaturation) से प्रोटीन की द्वितीयक और तृतीयक संरचना नष्ट हो जाती है।
🔹 केवल प्राथमिक संरचना रहती है।
🔹 इससे प्रोटीन की क्रियाशीलता समाप्त हो जाती है।
उदाहरण: उबले अंडे में सफेद भाग का कठोर होना।
🔵 प्रश्न 10.19
विटामिनों को किस प्रकार वर्गीकृत किया गया है?
रक्त के थक्के जमने के लिए कौन-सा विटामिन उत्तरदायी है?
🟢 उत्तर:
वर्गीकरण:
1️⃣ वसा में घुलनशील – A, D, E, K
2️⃣ जल में घुलनशील – B-समूह, C
✔ रक्त का थक्का जमने के लिए उत्तरदायी विटामिन – विटामिन K
🔵 प्रश्न 10.20
विटामिन A, B, C आवश्यक क्यों हैं? इनके कार्य बताइए।
🟢 उत्तर:
1️⃣ विटामिन A – दृष्टि के लिए आवश्यक; कमी से रतौंधी।
2️⃣ विटामिन B कॉम्प्लेक्स – चयापचय क्रियाओं में सह-एंजाइम; कमी से बेरी-बेरी।
3️⃣ विटामिन C – कोलेजन संश्लेषण; कमी से स्कर्वी।
🔵 प्रश्न 10.21
न्यूक्लिक अम्ल क्या हैं? इनके दो प्रकार लिखिए।
🟢 उत्तर:
🔹 न्यूक्लिक अम्ल जीवों की आनुवंशिक सूचना का वाहक होता है।
🔹 ये न्यूक्लियोटाइड इकाइयों से बने बड़े अणु (पॉलीमर) होते हैं।
🔹 प्रत्येक न्यूक्लियोटाइड में तीन घटक होते हैं —
1️⃣ नाइट्रोजन युक्त क्षारक
2️⃣ पेंटोज शर्करा
3️⃣ फॉस्फेट समूह
🔹 कार्य — वंशानुक्रम एवं प्रोटीन संश्लेषण का नियंत्रण।
🔸 प्रकार:
(i) डीऑक्सीराइबोन्यूक्लिक अम्ल (DNA)
(ii) राइबोन्यूक्लिक अम्ल (RNA)
🔵 प्रश्न 10.22
न्यूक्लियोसाइड और न्यूक्लियोटाइड में क्या अंतर है?
🟢 उत्तर:
विशेषता न्यूक्लियोसाइड न्यूक्लियोटाइड
संरचना क्षारक + शर्करा क्षारक + शर्करा + फॉस्फेट
उदाहरण एडेनोसिन, ग्वानोसिन एडेनोसिन मोनोफॉस्फेट (AMP)
➡ न्यूक्लियोटाइड, न्यूक्लियोसाइड का फॉस्फोराइलेटेड रूप है।
🔵 प्रश्न 10.23
DNA को स्वयं समान क्यों नहीं कहते, बल्कि एक दूसरे के पूरक कहते हैं?
🟢 उत्तर:
🔹 DNA दो विपरीतांतर (antiparallel) शृंखलाओं से बना होता है।
🔹 एक शृंखला की बेस क्रम (A, T, G, C) दूसरी शृंखला के पूरक क्रम से जुड़ी होती है —
A ↔ T (दो हाइड्रोजन बन्ध), G ↔ C (तीन हाइड्रोजन बन्ध)
🔹 अतः एक शृंखला का क्रम दूसरी शृंखला को निर्धारित करता है।
✔ इसलिए दोनों शृंखलाएँ पूरक (complementary) कहलाती हैं, समान नहीं।
🔵 प्रश्न 10.24
DNA तथा RNA के संरचनात्मक एवं क्रियात्मक अंतर लिखिए।
🟢 उत्तर:
विशेषता DNA RNA
शर्करा डीऑक्सीराइबोज़ राइबोज़
बेस A, T, G, C A, U, G, C
संरचना द्विशृंखली (double stranded) प्रायः एकल शृंखली (single stranded)
कार्य आनुवंशिक सूचना का संग्रह प्रोटीन संश्लेषण में सहायक
स्थान केन्द्रक केन्द्रक, साइटोप्लाज्म, राइबोसोम
🔵 प्रश्न 10.25
कोशिकाओं में पाए जाने वाले RNA के प्रमुख प्रकार कौन से हैं?
🟢 उत्तर:
RNA के तीन प्रमुख प्रकार हैं —
1️⃣ mRNA (संदेशवाहक RNA): DNA से सूचना लेकर राइबोसोम तक पहुँचाता है।
2️⃣ tRNA (परिवाहक RNA): अमीनो अम्लों को राइबोसोम तक लाता है।
3️⃣ rRNA (राइबोसोमल RNA): राइबोसोम की संरचना का भाग बनता है और प्रोटीन संश्लेषण में सहायक होता है।
✔ ये तीनों मिलकर प्रोटीन संश्लेषण में कार्य करते हैं।
————————————————————————————————————————————————————————————————————————————
अन्य महत्वपूर्ण प्रश्न
(CBSE MODEL प्रश्न पत्र)
सिर्फ इसी पाठ से निर्मित CBSE MODEL प्रश्न पत्र।
✳ खण्ड – A (बहुविकल्पीय प्रश्न: 1 × 16 = 16 अंक)
प्रश्न 1. जैव-अणु क्या कहलाते हैं?
जीवों में बनने वाले अकार्बनिक यौगिक
जीवों में बनने वाले कार्बनिक यौगिक
केवल जल
खनिज लवण
उत्तर: 2
प्रश्न 2. कार्बोहाइड्रेट का सामान्य सूत्र है —
Cₓ(H₂O)ᵧ
CₙH₂ₙO₂ₙ
CₓHₓOₓ
CH₄
उत्तर: 1
प्रश्न 3. ग्लूकोज़ का आणविक सूत्र है —
C₆H₁₂O₆
C₆H₁₀O₅
C₁₂H₂₂O₁₁
C₅H₁₀O₅
उत्तर: 1
प्रश्न 4. माल्टोज़ बनता है —
दो ग्लूकोज़ अणुओं से
ग्लूकोज़ और फ्रुक्टोज़ से
दो फ्रुक्टोज़ से
ग्लूकोज़ और गैलेक्टोज़ से
उत्तर: 1
प्रश्न 5. सुक्रोज़ का हाइड्रोलाइसिस करने पर क्या प्राप्त होता है?
ग्लूकोज़
ग्लूकोज़ और फ्रुक्टोज़
गैलेक्टोज़
माल्टोज़
उत्तर: 2
प्रश्न 6. स्टार्च और सेलूलोज़ में अन्तर क्या है?
मोनोमर अलग हैं
ग्लूकोज़ इकाइयाँ अलग जुड़ी हैं
तत्व भिन्न हैं
कोई नहीं
उत्तर: 2
प्रश्न 7. प्रोटीन किनसे बने होते हैं?
एमिनो अम्लों से
कार्बोहाइड्रेट से
न्यूक्लिक अम्ल से
अम्ल और क्षार से
उत्तर: 1
प्रश्न 8. पेप्टाइड बन्ध बनता है —
दो कार्बोहाइड्रेट के बीच
दो एमिनो अम्लों के बीच
दो वसा अम्लों के बीच
ग्लूकोज़ और फ्रुक्टोज़ के बीच
उत्तर: 2
प्रश्न 9. वसा का सामान्य सूत्र है —
ग्लिसरॉल + फैटी अम्ल
एमिनो अम्ल + अमोनिया
सुक्रोज़ + जल
एथेन + ऑक्सीजन
उत्तर: 1
प्रश्न 10. डीएनए का पूर्ण रूप है —
डाइऑक्सिन न्यूक्लिक अम्ल
डिऑक्सीराइबोन्यूक्लिक अम्ल
डाइराइबो न्यूक्लिक अम्ल
डिऑक्सी हाइड्रोजन अम्ल
उत्तर: 2
प्रश्न 11. आरएनए का कार्य है —
आनुवंशिक सूचना का संचयन
प्रोटीन संश्लेषण
ऊर्जा उत्पादन
वसा निर्माण
उत्तर: 2
प्रश्न 12. डीएनए में शर्करा होती है —
राइबोज़
डिऑक्सीराइबोज़
ग्लूकोज़
फ्रुक्टोज़
उत्तर: 2
प्रश्न 13. ग्लूकोज़ का ऑक्सीकरण करने पर क्या बनता है?
एसीटिक अम्ल
ग्लूकोनिक अम्ल
लैक्टिक अम्ल
फॉर्मिक अम्ल
उत्तर: 2
प्रश्न 14. एंज़ाइम क्या होते हैं?
कार्बोहाइड्रेट
प्रोटीन
न्यूक्लिक अम्ल
वसा
उत्तर: 2
Options (A/R प्रकार के प्रश्नों हेतु)
A और R दोनों सत्य हैं तथा R, A का सही व्याख्यान है।
A और R दोनों सत्य हैं परन्तु R, A का सही व्याख्यान नहीं है।
A सत्य है, R असत्य है।
A असत्य है, R सत्य है।
प्रश्न 15.
A: प्रोटीन अमीनो अम्लों के बहुलक हैं।
R: पेप्टाइड बन्ध के द्वारा अमीनो अम्ल आपस में जुड़ते हैं।
उत्तर: 1
प्रश्न 16.
A: डीएनए द्वि-शृंखला संरचना होती है।
R: दो पूरक शृंखलाएँ हाइड्रोजन बन्धों द्वारा जुड़ी होती हैं।
उत्तर: 1
✳ खण्ड – B (अति लघु उत्तर प्रश्न: 2 × 5 = 10 अंक)
प्रश्न 17. कार्बोहाइड्रेट की परिभाषा दीजिए।
🟩 कार्बन, हाइड्रोजन और ऑक्सीजन से बने वे यौगिक जिनका सामान्य सूत्र Cₓ(H₂O)ᵧ होता है, कार्बोहाइड्रेट कहलाते हैं।
प्रश्न 18. मोनोसैकराइड एवं डाइसैकराइड में अन्तर लिखिए।
🧪 मोनोसैकराइड — एक इकाई (जैसे ग्लूकोज़)।
🟦 डाइसैकराइड — दो मोनोसैकराइड इकाइयाँ (जैसे सुक्रोज़, माल्टोज़)।
प्रश्न 19. पेप्टाइड बन्ध क्या है?
🟩 –COOH समूह और –NH₂ समूह के संघनन से बना बन्ध, जिसमें H₂O निकलता है।
🎯 यह प्रोटीन का मूल बन्ध है।
प्रश्न 20. वसा के दो उदाहरण लिखिए।
🧪 (1) ट्राइग्लिसराइड (2) पामिटिक अम्ल + ग्लिसरॉल से बना वसा।
प्रश्न 21. एंज़ाइमों की एक विशेषता बताइए।
🟩 एंज़ाइम विशिष्ट (specific) उत्प्रेरक होते हैं।
🎯 ये केवल एक प्रकार की जैव अभिक्रिया को तीव्र करते हैं।
✳ खण्ड – C (संक्षिप्त उत्तर प्रश्न: 3 × 7 = 21 अंक)
प्रश्न 22. ग्लूकोज़ का संरचनात्मक प्रमाण दीजिए।
🧪 (1) आणविक सूत्र — C₆H₁₂O₆।
🟦 (2) ऑक्सीकरण से ग्लूकोनिक अम्ल बनता है → ऐल्डिहाइड समूह उपस्थित।
🟩 (3) HCN के साथ प्रतिक्रिया → सायनोहाइड्रिन बनता है।
🎯 इससे स्पष्ट होता है कि ग्लूकोज़ ऐल्डोहेक्सोज़ है।
प्रश्न 23. प्रोटीनों के कार्य लिखिए।
🟦 (1) ऊतकों का निर्माण।
🟩 (2) एंज़ाइम, हार्मोन, प्रतिरक्षी के रूप में कार्य।
🧪 (3) ऊर्जा प्रदान करना (1 g = 17 kJ)।
प्रश्न 24. वसा का निर्माण किस प्रकार होता है?
🧪 ग्लिसरॉल + 3 फैटी अम्ल → वसा + 3H₂O।
🟩 यह एस्टरीकरण अभिक्रिया है।
🎯 वसा का अपघटन साबुन निर्माण में प्रयुक्त होता है।
प्रश्न 25. डीएनए की द्वि-हेलिक्स संरचना का वर्णन कीजिए।
🟩 इसमें दो पूरक पॉलीन्यूक्लियोटाइड शृंखलाएँ होती हैं।
🧪 आधार युग्मन — A–T (2 बन्ध), G–C (3 बन्ध)।
🎯 यह संरचना आनुवंशिक सूचना को स्थायित्व देती है।
प्रश्न 26. न्यूक्लिक अम्ल के घटक क्या हैं?
🧪 (1) नाइट्रोजनयुक्त आधार (A, G, C, T/U)।
🟦 (2) शर्करा (राइबोज़/डिऑक्सीराइबोज़)।
🟩 (3) फॉस्फेट समूह।
प्रश्न 27. एंज़ाइम क्रिया का एक उदाहरण दीजिए।
🟦 सुक्रेज़ एंज़ाइम — सुक्रोज़ + H₂O → ग्लूकोज़ + फ्रुक्टोज़।
🎯 एंज़ाइम अभिक्रिया की गति को बढ़ाते हैं।
प्रश्न 28. विटामिनों का वर्गीकरण एवं एक उदाहरण दीजिए।
🧪 (1) वसा-विलेय — A, D, E, K।
🟩 (2) जल-विलेय — B-समूह, C।
🎯 उदाहरण — विटामिन C (एस्कॉर्बिक अम्ल) जल-विलेय है।
✳ खण्ड – D (प्रकरण-आधारित प्रश्न: 4 × 2 = 8 अंक)
प्रश्न 29.
नीचे दिया गया अनुच्छेद पढ़िए और पूछे गये प्रश्नों के उत्तर दीजिए —
ग्लूकोज़ एक षट्कार्बनी ऐल्डोज़ शर्करा है जो जीवों में ऊर्जा का प्रमुख स्रोत है। इसका विलयन हल्की घूर्णक (optically active) होता है। इसका ऑक्सीकरण ग्लूकोनिक अम्ल में तथा अपचयन सोर्बिटॉल में होता है।
(क) ग्लूकोज़ का आणविक सूत्र क्या है?
🧪 C₆H₁₂O₆
(ख) ग्लूकोज़ का ऑक्सीकरण करने पर कौन-सा यौगिक बनता है?
🟦 ग्लूकोनिक अम्ल।
(ग) ग्लूकोज़ के अपचयन से कौन-सा यौगिक बनता है?
🟩 सोर्बिटॉल।
(घ) जीवों में ग्लूकोज़ की प्रमुख भूमिका क्या है?
🎯 यह ऊर्जा का त्वरित स्रोत है।
प्रश्न 30.
नीचे दिये गए अनुच्छेद को पढ़िए —
डीएनए और आरएनए दोनों ही न्यूक्लिक अम्ल हैं। डीएनए द्विशृंखलिक संरचना वाला होता है जबकि आरएनए एकल शृंखला वाला। डीएनए आनुवंशिक सूचना का भंडारण करता है और आरएनए प्रोटीन संश्लेषण में भाग लेता है।
(क) डीएनए और आरएनए में कौन-सी शर्करा होती है?
🧪 डीएनए में डिऑक्सीराइबोज़, आरएनए में राइबोज़।
(ख) डीएनए में कौन-से आधार पाए जाते हैं?
🟦 एडेनिन (A), ग्वानिन (G), साइटोसिन (C), थाइमिन (T)।
(ग) आरएनए में थाइमिन के स्थान पर कौन-सा आधार होता है?
🟩 यूरासिल (U)।
(घ) डीएनए की भूमिका क्या है?
🎯 आनुवंशिक सूचना का संचयन एवं स्थानांतरण।
✳ खण्ड – E (दीर्घ उत्तर प्रश्न: 5 × 3 = 15 अंक)
प्रश्न 31.
कार्बोहाइड्रेट का वर्गीकरण कीजिए एवं प्रत्येक का एक उदाहरण दीजिए।
🟩 (1) मोनोसैकराइड — एक इकाई, जैसे ग्लूकोज़ (C₆H₁₂O₆)।
🟦 (2) डाइसैकराइड — दो इकाइयाँ, जैसे सुक्रोज़ (C₁₂H₂₂O₁₁)।
🧪 (3) पॉलीसैकराइड — अनेक इकाइयाँ, जैसे स्टार्च (C₆H₁₀O₅)ₙ।
🎯 ये ऊर्जा प्रदान करने और कोशिकीय संरचना बनाने में सहायक हैं।
या (OR)
ग्लूकोज़ की संरचना सिद्ध करने के मुख्य प्रमाण दीजिए।
🟩 आणविक सूत्र C₆H₁₂O₆ से ऐल्डिहाइड समूह का प्रमाण ऑक्सीकरण द्वारा।
🟦 सायनोहाइड्रिन निर्माण से C=O समूह की पुष्टि।
🧪 ऐल्डिहाइड समूह की उपस्थिति से ग्लूकोज़ को ऐल्डोहेक्सोज़ माना गया।
प्रश्न 32.
प्रोटीन की संरचना एवं कार्य का वर्णन कीजिए।
🟦 प्रोटीन एमिनो अम्लों के बहुलक हैं जो पेप्टाइड बन्ध द्वारा जुड़े होते हैं।
🧪 संरचना — प्राथमिक, द्वितीयक, तृतीयक एवं चतुर्थक रूपों में।
🟩 कार्य —
1️⃣ ऊतक निर्माण
2️⃣ एंज़ाइम एवं हार्मोन के रूप में
3️⃣ प्रतिरक्षा तंत्र में भूमिका
🎯 प्रोटीन जीवन का आधारभूत घटक है।
या (OR)
पेप्टाइड बन्ध की प्रकृति एवं निर्माण स्पष्ट कीजिए।
🧪 एक एमिनो अम्ल के –COOH और दूसरे के –NH₂ समूह के बीच संघनन से H₂O निकलकर –CO–NH– बन्ध बनता है।
🎯 यह सहसंयोजक बन्ध प्रोटीन श्रृंखला का आधार बनता है।
प्रश्न 33.
विटामिनों के प्रकार, उनके स्रोत एवं कार्य लिखिए।
🟩 (1) वसा-विलेय विटामिन — A, D, E, K।
➤ स्रोत — मक्खन, मछली तेल, अंडा।
➤ कार्य — दृष्टि, अस्थि निर्माण, रक्त का थक्का।
🟦 (2) जल-विलेय विटामिन — B-समूह, C।
➤ स्रोत — फल, अनाज, सब्ज़ियाँ।
➤ कार्य — चयापचय, घाव भरना, रोग प्रतिरोध।
🎯 विटामिन शरीर में एंज़ाइमों के सह-घटक के रूप में कार्य करते हैं।
या (OR)
एंज़ाइमों की प्रकृति एवं क्रिया-विधि समझाइए।
🧪 एंज़ाइम प्रोटीन होते हैं जो जैविक उत्प्रेरक के रूप में कार्य करते हैं।
🟩 वे अभिक्रिया की सक्रियण ऊर्जा घटाते हैं।
🎯 एंज़ाइम अभिक्रिया के बाद अपरिवर्तित रहते हैं तथा विशिष्ट क्रिया करते हैं।
————————————————————————————————————————————————————————————————————————————